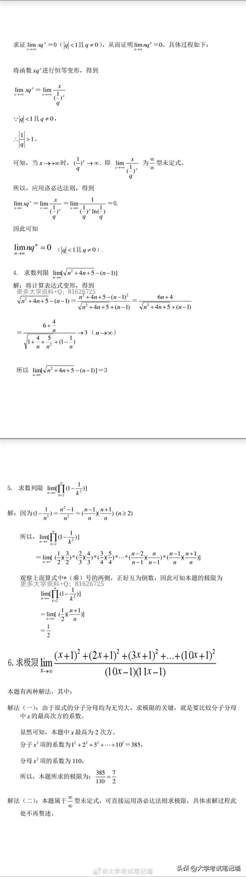
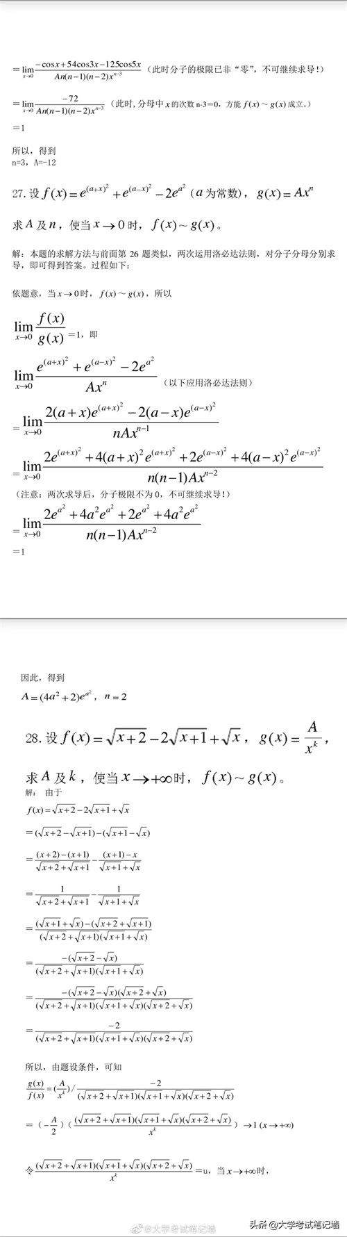
60道典型的高数极限题|附带解析!!!转给你身边要考高数的朋友
60道典型的高数极限题|附带解析!!!转给你身边要考高数的朋友
60道最典型的高数极限题[good]附带解析!!!
要考高数的同学一定要收好啊,真的及格必备!这几天就考试了,请帮忙转给你身边要考高数的朋友,一定可以帮到他们


















相关标签:
-
- 海底是怎样的
-
2025-12-21 20:20:45
-
- 国内哪里可以跳伞?跳伞好玩儿吗?
-
2025-12-21 20:18:31
-
- 梧州岑溪特色“牛娘戏”上央视了,你看过吗?
-
2025-12-21 20:16:17
-
- 菲菲直言花落不会来AG,梦泪才是最大赢家,月光爆料坏消息
-
2025-12-21 20:14:03
-
- 我们常说的“六亲不认”到底指的是哪六亲?
-
2025-12-21 20:11:48
-
- 深圳宝安体育馆介绍
-
2025-12-21 03:22:15
-
- 长江存储,唯一在半导体产业中赶超欧美的企业。
-
2025-12-21 03:20:01
-
- 一元世界:别具一格的新型购物网站
-
2025-12-21 03:17:47
-
- 小科普|还不知道湿厕纸的看过来!
-
2025-12-21 03:15:33
-
- 微信怎么解除实名认证?学会了很实用,还不不知道的都看看
-
2025-12-21 03:13:18
-
- 每日植物图鉴|油桐
-
2025-12-21 03:11:04
-
- 刘若英《后来的我们》被诉剽窃索赔千万 片方胜诉
-
2025-12-21 03:08:50
-
- 快过年了,告诉大家煮饺子的一些技巧
-
2025-12-21 03:06:35
-
- 蝴蝶兰花苞枯萎的原因
-
2025-12-21 03:04:21
-
- 湖北秭归:脐橙丰收
-
2025-12-21 03:02:07
-
- 颇爱派牙膏强势布局线下市场 获得消费者强烈认同
-
2025-12-21 02:59:52
-
- 辛巴合伙人伽柏,疑似新恋情曝光,与女子过七夕被拍,会是谁呢?
-
2025-12-21 02:57:38
-
- 台湾何时回归!
-
2025-12-21 02:55:24
-
- 事实证明,过了五十岁,不缺钱的男人,都有这个五个特质,很准
-
2025-12-21 02:53:09
-
- 了解一下,世界的四大钻石
-
2025-12-21 02:50:55



知青廖晓东儿女现状(知青廖晓东丈夫近况)
多地火车站小巷子惊现“站街女”,50元一次,大爷:很常见经常去